二、平面的方程

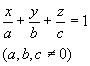
[截距式]

a, b, c分别称为平面在三条坐标轴上的截距

[点法式]

(A, B, C不同时等于零)

 

平面通过点M(x0, y0, z0),且法线N的方向数为A, B, C

 

 

 

[三点式]

 

 

 

平面通过三点:

M1(x1, y1, z1)

M2(x2, y2, z2)

M3(x3, y3, z3)

=0

 

 

 

 

[一般式]

Ax +By +Cz +D = 0

(A, B, C为该平面的法线的方向数,且不同时等于零)

D=0时,平面通过原点

A=0(B=0,或C=0)时,平面与x(y轴,或z)平行

A=B=0(A=C=0,或B=C=0)时,平面与Oxy平面(Ozx,或Oyz)平行

[法线式]

(a , b , g 为平面的法线的方向角,p³ 0为法线长即原点到平面的距离)

平面的一般式可化为法线式 ,式中称为平面的法化因子,D< 0时取正号;D>0时取负号

[矢量式]

(r -r0)× a = 0

平面 通过矢径r0的终点,且与已知矢量a垂直r为平面上任意一点的矢径