[平面图形几何重心坐标的计算公式]
|
图 形 |
几何重心 |
|
平面曲线
|
|
|
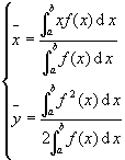
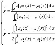
曲边梯形
|
|
|
|
|
[物体总质量与重心坐标的计算公式]
|
物体形状及密度 |
总质量M与重心 |
|
薄板
|
|
|
物体形状及密度 |
总质量M与重心 |
|
|
|
|
|
式中ds 为弧的微分,以上积分为曲线积分。 |