四、重积分、曲线积分与曲面积分的近似计算

[二重积分的近似计算公式]

式中对于不同的积分区域Ω选取不同的常数,是求积系数,R是余项.

Ω为圆形C: Ac=π

n

图示

R

 

 

5

(0,0)

h,0)

(0,±h)

 

 

 

 

4

 

 

 

 

 

 

 

n

图示

R

 

7

(0,0)

h,0)

 

 

9

(0,0)

h,0)

(0, ±h)

 

 

 

 

 

7

(0,0)

(±h,0)

h, ±h)

 

 

 

 

 

 

 

 

21

 

 

(0,0)

(

(

k=1,2,…,10

 

 

 

 

 

Ω为正方形S: |x|≤h,|y|≤h , =4

n

图示

R

 

 

9

(0,0)

hh)

h,0)

(0, ±h)

 

 

 

 

n

图示

R

 

4

9

(0,0)

 

 

Ω为正三角形T: 外接圆半径为h

n

图示

R

 

 

4

(0,0)

(h,0)

 

 

 

 

 

7

 

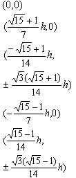
(0,0)

 

 

 

 

 

 

 

 

 

 

7

 

 

 

 

 

 

 

 

 

 

Ω为正六边形H: 外接半径为h

n

图示

R

 

 

7

(0,0)

(h,0)

 

 

 

 

7

(0,0)

 

 

[三重积分的近似计算公式]

式中对于不同的积分区域V选取不同的常数,是求积系数,R是余项.

V为球体

n

图示

R

 

 

7

(0,0,0)

 

 

V立方体C: |x|h,|y|≤h,|z|h. =8

n

图示

R

 

 

6

 

 

 

 

 

 

 

21

(0,0,0)

中心到6个面的距离的6个中点

6个面的中心

8个顶点

 

 

n

图示

R

 

42

6个面的中心

12个棱的中点

每个面的对角线上到每个面中心距离为4个点(共

24点)

 

Ω为四面体T.为四面体体积

n

图示

R

 

 

8

 

 

 

 

 

 

 

 

11

4个顶点

4个面的重心

 

 

 

 

 

T的重心

4个顶点

6个棱的中点

 

 

 

 

 

 

 

 

 

 

 

 

 

[曲线积分的近似计算公式]

圆周上的曲线积分

[曲面积分的近似计算公式]

球面上的曲面积分

n

图示

R

 

 

6

 

 

 

 

 

 

 

 

 

 

 

n

图示

R

 

 

 

 

18

 

 

 

 

 

 

 

26