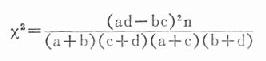
对于四格表资料,还可用以下专用公式求x2值。
式中a、b、c、d各代表四格表中四个实际数,现仍以表20-12为例,将上式符号标记如下(表20-13),并示范计算。
表20-13 两种疗法治疗卵巢肿瘤患者的疗效
计算结果与前述用基本公式一致,相差0.01用换算时小数点后四舍五入所致。