| 一、率的标准误 | 《预防医学》 |
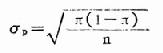
一、率的标准误用抽样方法进行研究时,必然存在抽样误差。率的抽样误差大小可用率的标准误来表示,计算公式如下:
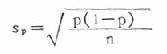
式中:σp为率的标准误,π为总体阳性率,n为样本含量。因为实际工作中很难知道总体阳性率π,故一般采用样本率p 来代替,而上式就变为
例 20.5河北省组织高碘地方性甲状腺肿流行病学调查,作者调查了饮用不同碘浓度井水居民甲状腺肿的患病情况,其中有两组资料如下表,试分别求出率的标准误。
计算法:第一组:n1=3315,p1=1.78%=0.0178 1-p1=1-0.0178=0.9822
第二组:n2=3215,p2=5.60%=0.056 1-p2=1-0.056=0.944
|
返回目录 |