一、检验的一般步骤《医学统计学》

一、检验的一般步骤

1.资料 这里所要的是类似第七章第一节三、中所述的成组资料,不过现在不是两组而是多组,如下例。

例8.1 分泌型免疫球蛋白A(SIgA)是胃肠道分泌液、泪液等外分泌液中的主要免疫球蛋白类,某院研制了“125I-SIgA放射免疫测定药盒”,为人体SIgA的检验提供了一种简便方法。为比较不同批号药盒检验结果是否一致,该院曾将三批号各四个药盒一一测定了某一标本得结果如下,试作方差分析。

表8.1 三个批号药盒的SIgA放射免疫测定值

批号SIgA含量(μg/ml), X∑XnX∑X2∑X2-(∑X)2/n
11.921.802.082.007.8041.9515.25280.0428
22.212.252.122.579.1542.2921.04590.1153
33.272.752.903.1012.0243.0136.27540.1553
合计28.97122.41472.57410.3134

2. 分析 从表8.1的测定结果可以看出这里有三种变异:

(1)从同一批号药盒的四次测定结果看,不尽相同,这是组内变异。显然它不是由于批号不同的影响,而只是由于误差(如批内各药盒的差异性和测量误差等)造成的。

(2)从各批测定值的均数来看,是不相同的,这是组间变异,表明各批药盒性能质量也许对测得的结果有一定影响,也包括误差的作用。

(3)12次测定的SIgA含量都不尽相同,有高有低,它们既可能受药盒来自不同批号的影响,也包括组内变异,因此称为总变异。

那么这里各批药盒测SIgA均值间的差别,只不过是抽样误差的反映呢?还是药盒制作质量不稳定,批间存在显著差别?为了得出正确的结论,可进行方差分析。方差分析的基本甲思想是:①从总变异中分出组间变异和组内变异,并用数量表示变异的程度;②将组间变异和组内变异进行比较,如两者相差不大,说明受批号不同的影响不大;如果两者相差较大,组间变异比组内变异大得多,说明批号不同的影响不容忽视。下面我们根据表8.1资料来计算这三种变异。

(1)总离均差平方和:即12个观察值各与总均数相差的平方之和,公式为

(8.1)

式中SS总即总离均差平方和,Xij表示第i组的第j个观察值,X为全部观察值的平均数,k是组数。

本例SS=72.5741-28.972/12=2.6357

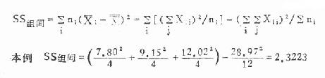
(2)组间离均差平方和:即取各组均数代替该组各观察值后,它们分别与总均数相差的平方之和,公式为

(8.2)

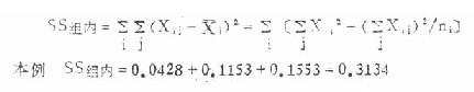
(3)组内离均差平方和:只要加总各组本身的离均差平方和即得,公式为

(8.3)

由本例计算结果可以看出,SS组间+SS组内=SS,如2.3223+0.3134=2.6357。因此,算出SS以后再计算SS组间、SS组内两者中之一个,其余一个便可通过减法求得。

将以上求得的几种变异各除以自由度后得均方。自由度的计算公式分别为

总变异 N-1 (N为各组例数之和)( 8.4)

组间变异 K-1      (8.5)

组内变异 N-K      (8.6)

组间均方与组内均方之比为F值,

F=组间均方/组内均方   (8.7)

本例

将以上数据列入下面的方差分析表可使人一目了然。

表8.2 方差分析表

变异来源离均差平方和自由度均 方F
总 变 异2.635711  
组间变异2.322321.161233.368
组内变异0.313490.0348 

如果求得的F值小于1或略大于1,也即组间变异与组内变异差不多,则关于不同批药盒所致影响就不值得注意,反之,若各批均数间差别甚大,组间变异比组内变异大得多,说明不能只把它看成为误差的表面,很可能不同批药盒的测定值具有差别。现F值远大于1,若等于或大于某α水准下的临界F值,便将拒绝检验假设H0而接受备择假设H1

本例定α=0.05,查附表8F值表,F0.05(2,9)=4.26。括弧内2为求F值时分子(也即较大均方)的自由度,9为分母的自由度,今F=33.368,远大于此临界值4.26,故P<0.05,说明不同批药盒的影响不容忽视,各批药盒测定的SIgA值相差显著。

上一页:第一节 方差分析的意义
当前页:一、检验的一般步骤
下一页:二、多个均数间的两两比较